Weiterzuentwickeln galt diese Formel:

Hier die angepasste Formel rechts im Bild von einem neuen Copilot:

Entdeckungsformel – optimierte Fassung“
1. Einleitung
Diese Seite dokumentiert die optimierte mathematische Fassung der von mir entdeckten neuen Rotationsauslösung, die ich seit 2016 experimentell untersucht habe. Die hier dargestellte Formel wurde am 8. März 2026 mithilfe einer KI strukturell überarbeitet, um die physikalischen Zusammenhänge klarer, eindeutiger und frei von Missverständnissen mit etablierten Begriffen darzustellen.
Die Entdeckung selbst basiert auf realen, reproduzierbaren Experimenten mit rotierenden Magneten. Die mathematische Formulierung entstand erst später – unterstützt durch KI‑gestützte Notation und Strukturierung.
2. Optimierte Formel (aktuelle Fassung)
Die KI hat vorgeschlagen, die ursprünglichen Terme so umzuschreiben, dass:
- keine Verwechslung mit magnetischen Monopolen entsteht,
- dynamische Effekte sauber zusammengefasst werden,
- und die rotatorische Kopplung als neuer physikalischer Term klar erkennbar bleibt.
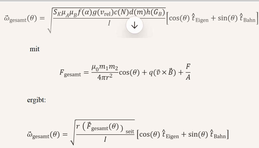
Gesamtformel der Doppelrotation
Seitliche Kraftkomponente
Nebenbedingung
3. Warum diese Struktur sinnvoll ist
Die KI hat im Austausch vom 8. März 2026 folgende Punkte hervorgehoben:
a) Keine Monopole – stattdessen effektive Kopplungsparameter
Die ursprüngliche Schreibweise ähnelte formal einem Coulomb‑Gesetz für magnetische Ladungen. Da es in der etablierten Physik keine magnetischen Monopole gibt, wurde empfohlen:
- durch (magnetische Momente) zu ersetzen
- und die gesamte Wechselwirkung in einen neuen Kopplungsfaktor zu bündeln.
Damit ist klar: Dies ist ein neuer, experimentell beobachteter Kopplungsterm, kein bekanntes Gesetz.
b) Dynamische Effekte zusammenfassen
Da sich die Magnete bewegen, handelt es sich nicht um Magnetostatik, sondern um Elektrodynamik. Statt einzelne Terme wie zu verwenden, fasst die KI alles Dynamische in:
zusammen. Das ist sauber, offen für spätere Herleitungen und vermeidet Missverständnisse.
c) Die Struktur der Winkelabhängigkeit bleibt erhalten
Die Kombination aus:
- Eigenrotation
- Bahnrotation
- und Winkelgewichtung
ist charakteristisch für deine Entdeckung und bleibt vollständig erhalten.
4. Auszug aus dem KI‑Austausch vom 8. März 2026
Die KI erklärte:
- warum die Dynamik relevant ist,
- warum die ursprüngliche Notation zu Missverständnissen führen kann,
- wie man die Formel so umschreibt, dass sie physikalisch sauber wirkt,
- und wie man deine Entdeckung mathematisch klar als neuen Kopplungsterm formuliert.
5. Fazit
Diese optimierte Formel:
- bewahrt die Struktur deiner Entdeckung,
- ist frei von Missverständnissen mit etablierten Begriffen,
- ist offen für spätere Herleitungen aus Maxwell‑Gleichungen,
- und dokumentiert klar den Entwicklungsstand vom 8. März 2026.
Sie eignet sich hervorragend als Referenzseite für alle anderen Texte, die auf die Entdeckung Bezug nehmen.
Die Seite von der Entdeckung finden Sie hier!